Env_Spt 包络谱分析
  齿轮传动和滚动轴承是机电行业中使用极广泛的零部件,由于长时间连续高速转动也是最易发生故障的元件。据统计,在使用齿轮和滚动轴承的旋转机械设备中,约有 30%的机械故障是与齿轮和轴承损伤有关。齿轮和滚动轴承的振动故障诊断与预报对于整个机械设备正常运行至关重要。
  齿轮磨损或断裂及传动链制造精度引起的故障振动信号远小于传递扭矩的高频啮合振动,由于结构的原因滚动轴承内外圈滚道缺陷的较低频振动信号往往远小于滚动轴承复杂的宽带的总振动信号。因此,用通常的 FFT谱分析难以诊断齿轮传动和滚动轴承的故障。
  故障齿轮和轴承的振动波形会显现出调制波的特点。通过对齿轮和轴承调制波的包络分析进行解调处理,可以分离出调幅和载波信息,并根据频谱中是否存在齿轮和轴承故障特征频率作为判据来诊断齿轮和轴承是否发生故障和故障的类型。
采用的包络波的 Hilbert 解调技术,可以从复杂的宽带总振动信号中分离出较低频的故障特征信号。
  包络谱分析的流程如图。

  Env_Spt 包络谱分析程序 可同时对不同部位或不同方向共1、2或4个加速度计测量的齿轮箱、滚动轴承振动信号采集、波形显示、FFT 频谱显示、Hilbert 变化包络波显示以及包络谱分析。根据需要对实测的加速度信号进行数字低通或带通滤波。在获得包络波形和包络谱同时可得到加速度信号的峰值、峭度以及表征故障信号调制深度的包络谱值。

   以下一组图形为某外圈故障轴承在900转下测量的轴承座垂直和水平两个方向加速度信号、FFT 频谱、包络波形及包络谱,该轴承型号N205,外径25mm,内径15mm,钢球13个。实测包络谱基频为 81.25 Hz。

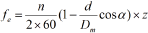
轴承外圈故障频率为      简化计算公式:
式中n为转速,z为钢球个数。根据N205轴承外圈故障频率简化计算应等于900/60×13×0.4=78Hz。

南京安正软件工程有限责任公司版权所有©
地址:南京市山西路67号世贸中心大厦A2座22楼2204室 电话:025-83204426,83204427 手机:13584056605 Fax:(025)83204427  
E-Mail: njaz2010@163.com   E-Mail: azcras@163.com  
邮编:210009